近日,麻豆av
量子精密测量研究所和麻豆av
的李朝红团队利用贝叶斯量子参数估计实现了冷原子相干布居数囚禁钟的闭环锁定,主要结果于2024年10月23日发表在美国物理协会《Physical Review Applied》上,并选为编辑推荐文章。编辑认为,这一工作为原子钟锁定提供了一种高精度方法,并且在基于干涉的量子传感器件领域存在极有前景的应用。
原子钟是一种精密计时装置,通过将本地振荡器(晶体振荡器或激光器)频率锁定在原子(离子)内部能级间的跃迁频率上,输出标准时间频率信号。高精度原子钟在守时授时、导航定位、航空航天、高码率通信系统同步、国防安全、基础研究等领域有非常广泛的应用。然而,原子钟的灵敏度受限于标准量子极限,在总粒子数尺度上遵循N^(-1/2)标度,在总积分时间尺度上遵循T^(-1/2)标度。一方面,利用量子纠缠能在粒子数尺度上突破标准量子极限,灵敏度可提升至N^(-α)标度(0.5<α≤1),但大尺度纠缠态的制备和维持面临巨大的挑战,从而限制了绝对测量精度的提升。另一方面,利用贝叶斯量子参数估计,可建立一个有关联的干涉测量序列,灵敏度可提升至T^(-α)标度(0.5<α≤1)。到目前为止,如何利用贝叶斯量子参数估计提升原子钟的性能、实现原子钟的闭环锁定仍是有待解决的问题。
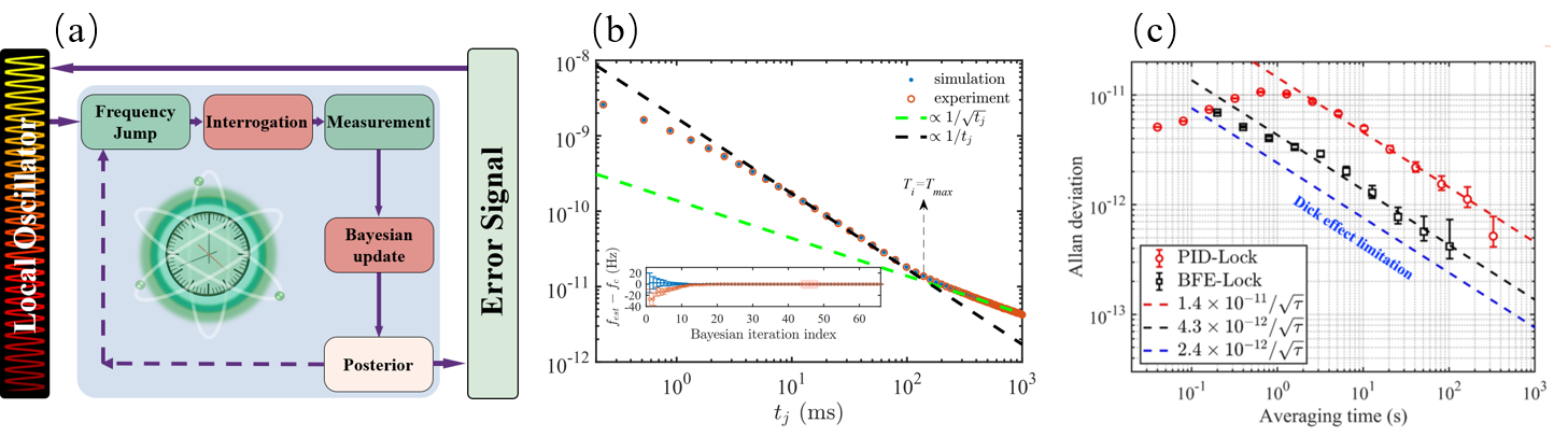
原子钟的闭环锁定是通过对比原子跃迁频率和本地振荡器的频率,产生误差信号,并伺服反馈到本地振荡器来实现的。传统的原子钟一般利用固定积分时间的拉比或拉姆塞方案,探测原子跃迁光谱半宽全高处的信号获得原子跃迁频率,经过PID(比例积分微分)伺服反馈实现闭环锁定。贝叶斯量子参数估计利用具有不同积分时间的拉姆塞干涉序列,探测原子跃迁光谱不同失谐处的信号,由贝叶斯统计给出原子跃迁频率,同时在贝叶斯迭代过程中反馈到本地振荡器,实现原子钟的闭环锁定。

李朝红团队基于自主搭建的冷铷原子相干布居数囚禁钟,利用贝叶斯量子参数估计首次在积分时间尺度上实现了海森堡标度【T^(-1)】的钟跃迁频率测量,并用于此原子钟的闭环锁定。团队研究人员通过设计适用于原子钟锁定的贝叶斯量子参数估计算法【图(a)】,利用具有指数增长积分时间的拉姆塞干涉测量序列,同时在贝叶斯迭代过程中自适应调节本地振荡器的频率,实现钟跃迁频率的测量。经过迭代,贝叶斯估计值趋于钟跃迁频率,在积分时间到达最大相干时间前,频率测量的灵敏度遵循海森堡标度【图(b)】。进一步,利用基于贝叶斯量子参数估计的钟跃迁频率测量,将本地振荡器频率直接锁定在原子跃迁频率上,实现了原子钟的贝叶斯闭环锁定。相对于传统的PID锁定,利用贝叶斯量子参数估计锁定的原子钟的稳定度提高了5.1(4)dB【图(c)】。相比美国国家标准与技术研究院报道的稳定度1.3*10^(-11)/τ^(1/2)【Appl. Phys. Lett. 111, 224102 (2017)】、英国斯特拉斯克莱德大学报道的稳定度2*10^(-11)/τ^(1/2)【Optics Express 27, 38361 (2019)】和中国计量科学研究院报道的稳定度2.4*10^(-11)/τ^(1/2)【Chin. Phys. B 31, 043201 (2022)】,李朝红团队利用贝叶斯量子参数估计得到的稳定度为4.3*10^(-12)/τ^(1/2),是目前冷原子相干布居数囚禁钟的最高稳定度。此外,基于贝叶斯量子参数估计的原子钟锁定对技术噪声具有极好的鲁棒性。
该成果以“Atomic clock locking with Bayesian quantum parameter estimation: Scheme and experiment”为题发表在《Physical Review Applied》上,麻豆av
为第一单位和通讯作者单位,麻豆av
助理教授韩成银、中山大学博士生马翥和湖北师范大学讲师邱宇翔为共同第一作者,麻豆av
李朝红教授、鹿博副教授和中山大学黄嘉豪副教授为共同通讯作者。该研究得到了国家自然科学基金委员会、科技部和广东省科技厅等机构的资助。
论文链接://journals.aps.org/prapplied/abstract/10.1103/PhysRevApplied.22.044058